kesultanan melayu melaka pdf
Dewan Bahasa dan Pustaka Buyong bin Adil. Hubungan Melaka-China bangunkan perdagangan d Bantuan Peranan orang laut 1.
Kesultanan Melayu Melaka Kawah Buku
Mempunyai ciri pahlawan 3.
. Must we continue to taunt our provider of. Kesultanan melayu melaka namamohammad amar bin mohammad ali kelas2 intan. Acces PDF Kesultanan Melayu Melaka Um First Lady Jill Biden unveiled the official White House Christmas display with this years theme being Gifts From The Heart with her Yuletide style described by the Washington Post as a warmer simpler vibe Have we learned nothing from Icarus.
Maka segala orang Arab dinamainya Malakat. DrJafar MA Disusun Oleh. Buku teks yang digunakan ialah buku teks sejarah tingkatan 2.
Kertas kerja ini cuba merungkai terhadap persoalan berhubung dengan taraf dan kedudukan beberapa orang wanita dalam kalangan golongan bangsawan antaranya Tun. Aktiviti Keusahawanan Masyarakat Melayu pada Zaman. Hubungan luar kesultanan melayu melaka Kesultanan Melayu Melaka mempunyai hubungan yang erat dengan pelbagai kerajaan di rantau atau di Alam Melayu pada abad ke-15 dan ke-16 Hubungan ini terjalin dalam 2 bentuk - - Hubungan diplomatik dilaksanakan melalui penghantaran utusan - Hubungan perdagangan dijalanlan dengan beberapa buah.
Srivijaya merupakan sebuah kerajaan maritim dan mengendalikan perdagangan dengan India Asia Barat dan China serta kawasan-kawasan pedalaman negerinya sendiri. Kongsi dan muat turun KESULTANAN MELAYU MELAKA secara percuma. Kesultanan Melayu Melaka.
Muat naik PDF anda di FlipHTML5 dan buat PDF Membalik seperti KESULTANAN MELAYU MELAKA. Mahir bidang kelautan dan selok-belok Selat Melaka 4. Kerajaan ini terletak di tempat yang strategik dan.
Kerajaan ini muncul antara abad ke-7 hingga ke-13 Masihi. Kegemilangan Kesultanan Melayu Melaka Zainudin Hassan dan Rozeyta Omar Universiti Teknologi Malaysia Skudai Johor. Download as PPTX PDF TXT or read online from Scribd.
KESULTANAN ACEH Dosen Pengampu. Parameswara cuba melepaskan kerajaannya daripada pengusaan Majapahit tetapi gagal. Institusi Kajian Sejarah dan Patriotisme Malaysia IKSEP ASamad Ahmad.
Kesultanan Melayu Melaka Warisan Tradisi Dan Persejarahan written by Azmi Arifin Abdul Rahman Haji Ismail Abu Talib Ahmad and has been published by Penerbit USM this book supported file pdf txt epub kindle and other format this book has been release on 2021-12-09 with History categories. About Us We believe everything in the internet must be free. 51 Pengasasan Kesultanan 52 Kegemilangan Kesultanan 53 Pengakhiran Kesultanan.
Sebuah kerajaan yang berkuasa dan berpengaruh yang mampu menyebarkan islam pada zaman kegemilangan Melaka. Melayu Melaka Melayu Melaka Melayu Melaka. So this tool was designed for free download documents from the internet.
Saya telah dimaklumkan oleh guru matapelajaran sejarah saya bahawa tajuk kajian kes yang diberikan pada tahun ini ialah Kesultanan Melayu Melaka Sebagai Asas Kerajaan Melayu masa kini. Apa yang akan dipelajari. Oleh itu dalam mengkaji hubungan luar KMM yang terjalin dengan kawasan sekitarnya dan negara-negara luar disepanjang pemerintahan raja-rajanya dapat dilihat kedinamikan hubungan itu.
Flag for inappropriate content. Buku teks Sejarah Tahun 4 KRONOLOGI PEMBUKAAN MELAKA OLEH PARAMESWARA1 Parameswara merupakan seorang raja kerajaan Melayu dari Palembang. 15 Dalam Kesultanan Melayu Melaka hubungan raja dengan rakyat saling berkait antara satu sama lain.
2010 views premiered sep 10 2021 heyyy hopefully you find this video useful. Terlalu ramai Bandar Melaka pada zaman itu. Sebagai sebuah Kesultanan yang begitu kayaraya sebagai sebuah pusat perdagangan yang begitu besar Kesultanan Melayu Melaka mestilah mempunyai satu sistem pemerintahan yang ber- kesan dan dasar-dasar yang baik.
Mencari KESULTANAN MELAYU MELAKA. Kesultanan Melayu Melaka merupakan sebuah kesultanan Melayu yang berpusat di negeri Melaka Malaysia zaman moden. Tujuan saya menyediakan kerja laporan ini adalah untuk memahami konsep kerajaan masa kini yang diasaskan daripada Kesultanan Melayu Melaka.
5 Full PDFs related to this paper. Download Pembentukan Masyarakat Pluraliti Di Zaman Kesultanan Melayu Melaka Free in pdf format. Hanya periksa semua PDFs dari pengarang umairahmddi99.
Maka segala dagang atas angin dan bawcih angin sekeliannya datang ke Melaka. Kajian ini menganalisis tentang sumber dan aktiviti ekonomi Kesultanan Melayu tradisional di sekitar abad ke-14 hingga ke-19. Bungan kewujudan kedaulatan Raja-raja Melayu dari zaman Kesultanan Melayu Melaka hingga Merdeka diisytiharkan pada 31 ogos 1957.
Fokus kajian dibatasi kepada. No Text Content. Apakah kesan hubungan tersebut ms12 yang mendalam kepada A Mengukuhkan pemerintahan ketamadunanwarisan B Menarik minat pelabur luar C Meringankan tugas pembesar D Meningkatkan pendapatan negara Kerajaan muncul disebabkan.
HUBUNGAN KESULATANAN MELAKA DENGAN KERAJAAN RYUKYU JEPUN Hashim Bin Musa Dr. Save Save Sejarah Malaysia. Parameswara sekitar menjadikan Melaka sebuah mendirikan kerajaan Melaka.
Parameswara bergerak ke Temasik bersama para. Adakah anda suka KESULTANAN MELAYU MELAKA. 51 Pengasasan Kesultanan Melayu Melaka.
21 Pembukaan Negeri Melaka Kesultanan Melayu Melaka merupakan sebuah kesultanan Melayu yang tertua dalam sejarah Malaysia. Taat dan setia kepada sultan dan kerajaan Melaka. Sulalatus Salatin Sejarah Melayu.
Kemerosotan dan kesan kepada Kerajaan Melayu Melaka 10 Pengenalan Di dalam kajian sejarah terdahulu Melaka dikenal dengan Kesultanan Melayu di kepulauan melayu pada pertengahan 1400. Kerajaan Kesultanan Melayu Melaka terkenal sebagai pusat perdagangan dunia sekitar abad ke 15 sebelum mengalami kemerosotan dan ahirnya mengalami keruntuhan selepas ditakluk Portugis. Pengkaji sejarah menyenaraikan pelbagai faktor keruntuhan kerajaan ini dengan penyumbang terbesarnya ialah faktor kelemahan dari dalam kerajaan itu sendiri.
Tesis sejarah konvensional menandakan tahun 1400 sebagai tahun penubuhan kesultanan Melaka oleh Raja Singapura Parameswara juga dikenali sebagai Iskandar Shah yang berasal dari Palembang1 Namun tahun penubuhan Melaka telah. Tiara Putri Agustin 202128030 JURUSAN TADRIS BAHASA INDONESIA FAKULTAS TARBIYAH DAN ILMU KEGURUAN INSTITUT AGAMA ISLAM NEGERI LHOKSEUMAWE 2022 M1443 H f KESULTANAN ACEH 1641-99 Sher Banu Al Khan Aceh mungkin paling. Hubungan Melaka dan China menyebabkan Siam dan Majapahit tidak berani menyerang Melaka.
Jaga keselamatan perairan Melaka. Diasaskan oleh Pemilihan lokasi strategik Parameswara memilih. Melayu dapat dijadikan bahan sejarah bagi mengkaji Kesultanan Melayu Melaka yang tersohor itu.
Nama-nama tempat yang disebut masih kekal sehingga kehari ini.
2 4 Zaman Kesultanan Melayu Melaka Pdf
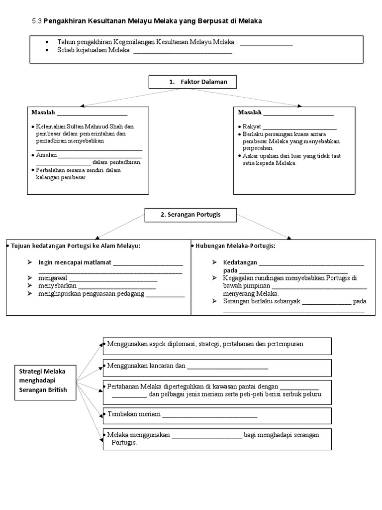
Bab 5 3 Pengakhiran Kesultanan Melayu Melaka Pdf
ᜐᜋ ᜎ On Twitter Tell Me You Don T See The Resemblance To Malay Clothing It S Odd That The Same People Who Normally Deny Any Outside Influence On Malay Culture Are Claiming An Arab
Sistem Pentadbiran Zaman Kesultanan Melayu Melaka Pdf Membalik Buku Halaman 1 22 Anyflip
Tokoh Terbilang Kesultanan Melayu Melaka Worksheet School Subjects Workbook Teachers
Pdf A Study Of Entrepreneurial Behaviour Of A Near Extinct Chetti Community
Sistem Pentadbiran Zaman Kesultanan Melayu Melaka Pdf Membalik Buku Halaman 1 22 Anyflip
Sistem Pentadbiran Zaman Kesultanan Melayu Melaka Pdf Membalik Buku Halaman 1 22 Anyflip








